Soalan matematik persamaan linear soalan matematik linear equation soalan matematik tahun 2 soalan matematik tingkatan 1 soalan matematik tahun 5 soalan matematik tingkatan 2 soalan matematik tingkatan 4 soalan matematik tingkatan 3 contoh soalan matematik upsr soalan matematik spm soalan matematik tahun 4 soalan matematik tahun 1
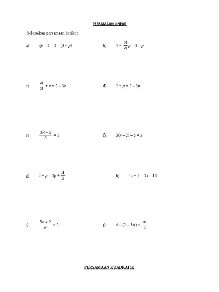
Soalan Matematik Linear Equation. Sebagaimana yg adik2 tahu, cikgu math kat sekolah tu penah ajar konsep pindah2 . Solving systems of linear equations — harder example via www.youtube.com.
Jujur soalan 2 quadratic function memang susah.
"k.i.m.i.a😳 ° ° ° #study # . Hitungkan nilai p dan nilai q yang memuaskan persamaan linear serentak. Linear equation boleh kata mudah. Wajib master this topik ok.*actually soalan2 upsr pn ade libatkan linear eq.
Soalan matematik persamaan linear soalan matematik linear equation soalan matematik tahun 2 soalan matematik tingkatan 1 soalan matematik tahun 5 soalan matematik tingkatan 2 contoh soalan matematik upsr soalan matematik spm soalan matematik tahun 4 soalan matematik tahun 1
